| Analyst, 2001, 126 | |
Additions and corrections Characterization of DNAprotein complexes by capillary electrophoresis-single molecule fluorescence correlation spectroscopy |
Dale J. LeCaptain, Matthew A. Michel and Alan Van Orden
Analyst, 2001, 126 (DOI: 10.1039/b101487k). Amendment published 5th July 2001
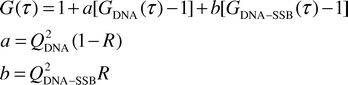
Equation 5 should read:
![]() |
(5) |
rather than
![]() |
(5) |
as previously published.
Table 3 should read:
| Table 3 Binding ratios for poly(dT)39SSB complexes determined by CEMSAFCS and separations-based CEMSAa | |||||
| SSB conc./nM | Autocorrelation analysisb | CE separation | |||
| a | b | RCEMSAFCS | RCEMSA | ||
| 0 | | | 0 | 0 | |
| 5 | 0.921(5) | 0.053(8) | 0.27(3) | 0.27(3) | |
| 10 | 0.318(7) | 0.692(8) | 0.93(4) | 0.87(3) | |
| 20 | | | 1 | 1 | |
| a The numbers in parentheses are uncertainties (1s) in the last digit. b The parameters a and b were obtained by fitting to eqn. (5). | |||||
rather than
| Table 3 Binding ratios for poly(dT)39SSB complexes determined by CEMSAFCS and separations-based CEMSAa | |||||
| SSB conc./nM | Autocorrelation analysisb | CE separation | |||
| a | b | RCEMSAFCS | RCEMSA | ||
| 0 | | | 0 | 0 | |
| 5 | 0.876(7) | 0.125(9) | 0.26(3) | 0.27(3) | |
| 10 | 0.350(7) | 0.830(9) | 0.82(3) | 0.87(3) | |
| 20 | | | 1 | 1 | |
| a The numbers in parenthesis are uncertainties (1s) in the last digit. b The parameters a and b were obtained by fitting to eqn. (5). | |||||
as previously published.
The Royal Society of Chemistry apologises for these errors and any consequent inconvenience to authors and readers.