Additions and corrections
Occurrence of spontaneous resolution of ketoprofen with a racemic crystal structure by simple crystallization under nonequilibrium preferential enrichment conditions
Rajesh G. Gonnade, Sekai Iwama, Ryusuke Sugiwake, Kochunnoonny Manoj, Hiroki Takahashi, Hirohito Tsue, and Rui Tamura
Chem. Commun., 2012, 2791-2793 (DOI: 10.1039/c2cc18132k) Amendment published 22th March 2012
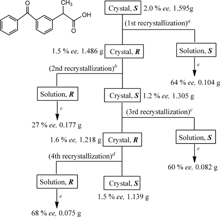
There is an error in Fig. 1. Below the 5th crystal box after the 4th recrystallization, "1.5% ee, 1.218 g" should be "1.5% ee, 1.139 g".
The corrected Fig. 1 is:

The Royal Society of Chemistry apologises for this error and any consequent inconvenience to authors and readers.
Back to article