Phys. Chem. Chem. Phys., 2002, 4

Additions and corrections

The influence of concentration-dependent diffusivities on wave stability

Marc R. Roussel and Jichang Wang

Phys. Chem. Chem. Phys., 2002, 4(8), 1310 (DOI: 10.1039/b109310j). Amendment published 24th June 2002

In the above-mentioned paper, we studied a model of wave propagation during the oxidation of carbon monoxide on platinum. An unfortunate coding error in the computer program used in the simulations has resulted in our reporting erroneous parameter values for the phenomena described in this paper. It should be particularly noted that stabilization of the waves requires negative values of ku rather than the positive values reported in our paper. For instance, in the caption to Fig. 3, ku should be –0.7. Conversely, destabilization of stable wave fronts as shown in Fig. 4 requires positive values of ku. An example can be generated by comparing the behavior with  = 0.1 and ku = 0, in which case the waves are stable, to a simulation with ku = 1.58, where backfiring is observed in a similar way to the behavior shown in our original Fig. 4.

Due to the reversal in sign, the converse of some statements in our paper needed to be tested. Since the concentration-dependent diffusion coefficients are smaller when ku is negative than when ku = 0, we might worry that the effects observed are merely due to a decrease in the diffusion coefficients and that the concentration dependence is not necessary for the suppression of backfiring. As we reported in our original text, this type of explanation fails. Clearly, if we reduce Du0 to zero then all wave activity ceases. However, we can decrease Du0 significantly (e.g. to 0.4) and still observe backfiring. We conclude that the inhibition of backfiring is not due to an overall decrease in diffusivity but rather to the inhomogeneous nature of this decrease.

We also mentioned how the critical value of ku depends on . We have verified that as increases, which makes the medium more active, the value of ku required to suppress backfiring decreases (becomes more negative).

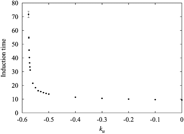
Corrected versions of Fig. 5 and 6 are presented here. Fig. 5 showed the concentration profiles of u and v in both the stable and unstable cases. At negative ku, the diffusion of the activator (u) is slowed, resulting in a narrower pulse. This prevents a buildup of u in the tail of the inhibitor (v) pulse and thus inhibits backfiring. The discussion of Fig. 6 remains valid, except that the induction time diverges at a negative rather than a positive value of ku.

   
  Fig. 5  Solid lines and dashed lines represent, respectively, the concentrations of the activator u and inhibitor v at different values of ku for pulses propagating to the right with  = 0.11, a = 0.84, b = 0.09 and Du0 = 1. In these corrected calculations, stable pulses are observed at negative values of ku. The other two cases present snapshots of unstable pulses. Note also that our original figure had an x axis labeled in mesh points rather than in (dimensionless) spatial distances as shown here.  

   
  Fig. 6  Backfiring induction time for the CO oxidation model with variable diffusion coefficient. All parameters were set as in Fig. 5. The induction time blows up as ku approaches a critical negative value (~ –0.58) from the right. For values of ku below this critical value, no backfiring occurs. The error bars were determined by comparing calculations obtained with two different programs using different discretizations of the diffusion term. Note that the absolute error increases significantly near the critical value of ku. To obtain reliable results in this region, small values of the spatial mesh size and time step are required.  

We have verified the results described here using two different, independently written computer programs.


The Royal Society of Chemistry apologises for these errors and any consequent inconvenience to authors and readers.


Full Article