Phys. Chem. Chem. Phys., 2006, 8

Additions and corrections

Nucleation and growth of cobalt nanostructures on highly oriented pyrolytic graphite

S. W. Poon, J. S. Pan and E. S. Tok

Phys. Chem. Chem. Phys., 2006, 8, 3326 (DOI: 10.1039/b604627b). Amendment published 27th September 2006

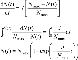
Eqn (1) on page 3332 line 9 should read:

(1)


The Royal Society of Chemistry apologises for these errors and any consequent inconvenience to authors and readers.


Back