Additions and corrections
Alkane C–H activation and functionalization with homogeneous transition metal catalysts: a century of progress—a new millennium in prospect
Robert H. Crabtree
J. Chem. Soc., Dalton Trans., 2001, 2437 (DOI: 10.1039/b103147n). Amendment published 4th September 2001.
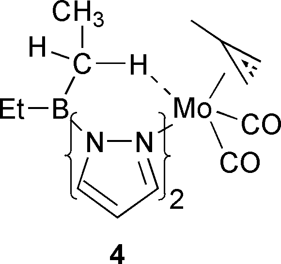
Compound 4 was erroneously drawn; the correct structure is given below. The review also failed to point out that Trofimenko was the first to describe the compound and correctly proposed the bridged structure on spectroscopic grounds long before the X-ray result had been obtained. (S. Trofimenko, J. Am. Chem. Soc., 1968, 90, 4754; Inorg. Chem., 1970, 9, 2493.)

The Royal Society of Chemistry apologises for these errors and any subsequent inconvenience to authors and readers.