Additions and corrections
One- and two-dimensional coordination assemblies of a novel redox-active bipyridinium dimer ligand with magnetic oxalate complexes
Yan-Qiong Sun, Jie Zhang and Guo-Yu Yang
Dalton Trans., 2003, 3634–3638 (DOI: 10.1039/b305560d). Amendment published 2nd February 2004.
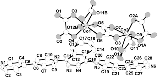
Page 3636. The positions of N3, N4, C17 and C18 in Fig. 3 and Fig. 4 are incorrect. N3 and N4 should change their positions with C17 and C18. The correct figures are presented below. Since the correction does not change the coordinates of atoms, the discussion in the paper is not affected.
![]() |
||
|
Fig 3 ORTEP drawing (50% probability level) with atom-numbering scheme of complex 2, [(Bpyph)Co2(C2O4)3]·5.5H2O. The H atoms are omitted for clarity. |
Re-refinement of the structure results in small changes to some of the values originally presented. Updated Tables 1 and 2S are provided.
Table 1 Crystallographic data for complexes 1 and 2
|
|
1 | 2 |
| Empirical formula | C34H33CuFeN6O18.5 | C34H31Co2N6O17.5 |
| Formula weight | 941.05 | 921.51 |
| Crystal system | monoclinic | monoclinic |
| Space group | P21/n | P21/n |
| T/K | 293 | 293 |
/Å |
0.71073 | 0.71073 |
| a/Å | 12.0458(5) | 9.1401(7) |
| b/Å | 15.2355(4) | 16.9414(13) |
| c/Å | 21.0978(9) | 24.0854(19) |
/° |
95.409(2) | 90.974(2) |
| V/Å3 | 3854.7(3) | 3729.0(5) |
| Z | 4 | 4 |
| Dc/g cm3 | 1.622 | 1.641 |
/cm1
|
10.17 | 9.78 |
| F(000) | 1928 | 1884 |
| Measured reflections | 11967 | 11625 |
| Independent reflections | 6423 [R(int) = 0.0805] | 6163 [R(int) = 0.0585] |
| Goodness-of-fit on F2 | 1.005 | 1.153 |
R1 [I >
2 (I)] |
0.0758 | 0.0818 |
wR2 [I >
2 (I)] |
0.1576 | 0.1404 |
Table 2S Selected bond lengths (Å) and angles (°) for 2
|
Co(1)-O(12)#1 |
2.112(5) | Co(2)-O(1)#2 | 2.111(5) |
| Co(1)-O(3) | 2.111(5) | Co(2)-O(9) | 2.124(5) |
| Co(1)-O(5) | 2.113(5) | Co(2)-O(10) | 2.127(5) |
| Co(1)-O(4) | 2.120(5) | Co(2)-O(7) | 2.133(5) |
| Co(1)-O(6) | 2.127(5) | Co(2)-O(8) | 2.134(5) |
| Co(1)-O(11)#1 | 2.145(5) | Co(2)-O(2)#2 | 2.139(5) |
| O(12)#1-Co(1)-O(3) | 95.7(2) | O(1)#2-Co(2)-O(9) | 95.1(2) |
| O(3)-Co(1)-O(5) | 96.7(2) | O(1)#2-Co(2)-O(10) | 96.4(2) |
| O(12)#1-Co(1)-O(4) | 94.0(2) | O(9)-Co(2)-O(10) | 78.1(2) |
| O(3)-Co(1)-O(4) | 78.6(2) | O(9)-Co(2)-O(7) | 91.7(2) |
| O(5)-Co(1)-O(4) | 97.6(2) | O(10)-Co(2)-O(7) | 90.1(2) |
| O(12)#1-Co(1)-O(6) | 89.3(2) | O(1)#2-Co(2)-O(8) | 96.1(2) |
| O(5)-Co(1)-O(6) | 77.9(2) | O(10)-Co(2)-O(8) | 89.4(2) |
| O(4)-Co(1)-O(6) | 104.0(2) | O(7)-Co(2)-O(8) | 78.4(2) |
| O(12)#1-Co(1)-O(11)#1 | 78.5(2) | O(1)#2-Co(2)-O(2)#2 | 78.4(2) |
| O(3)-Co(1)-O(11)#1 | 86.5(2) | O(9)-Co(2)-O(2)#2 | 95.1(2) |
| O(5)-Co(1)-O(11)#1 | 92.9(2) | O(7)-Co(2)-O(2)#2 | 95.9(2) |
| O(6)-Co(1)-O(11)#1 | 91.6(2) | O(8)-Co(2)-O(2)#2 | 98.2(2) |
| Symmetry transformations used to
generate equivalent atoms: #1 x + 1, y, z #2 x + 3/2, y + 1/2, z + 1/2 |
|||
The Royal Society of Chemistry apologises for these errors and any consequent inconvenience to authors and readers.
Back to Issue 18 Contents