Faraday Discuss., 2003, 124

Additions and corrections

The quantum chemistry of d- and f-element complexes: From an approximate existence to functional happiness

Bruce E. Bursten, Michael L. Drummond and Jun Li

Faraday Discuss., 2003, 124, 1 (DOI: 10.1039/b305317m) Amendment published 10th July 2003

The acknowledgements were omitted from the paper:

The authors are grateful to the Division of Chemical Sciences of the U.S. Department of Energy and the National Science Foundation for financial support of this research. Computational resources were provided by generous grants from the Ohio Supercomputer Center and the William R. Wiley Environmental Molecular Sciences Laboratory at Pacific Northwest National Laboratory.

Amendment published 29th July 2003

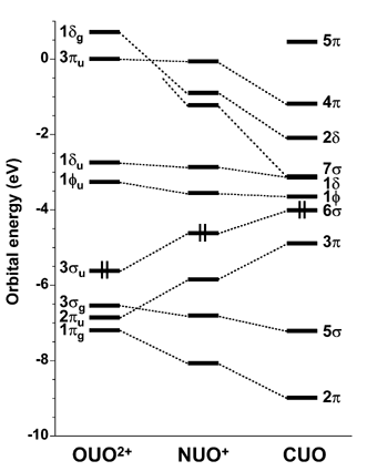
Fig. 4 should be:

Fig. 4 Orbital energies of the isoelectronic series UO22+, NUO+ and CUO.


The Royal Society of Chemistry apologises for these errors and any consequent inconvenience to authors and readers.


Full Article