Additions and corrections
Tripod amphiphiles for membrane protein manipulation
Pil Seok Chae, Philip D. Laible and Samuel H. Gellman
Mol. BioSyst., 2010, 6, 89–94 (DOI: 10.1039/B915162C) Amendment published 12th March 2013
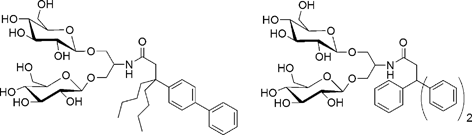
There were errors in the chemical structures in Figure 1, Figure 3, Figure 5, compound 7 and the graphical abstract image. The L-sugars were drawn instead of the correct D-sugars. The corrected structures are provided below:

Fig. 1 Chemical structures of representative classical detergents (LDAO, DDM) and selected non-classical amphiphiles (CHAPS, tween detergents, deoxycholate-based amphiphile, amphipol (A8-35; n ≈ 80), and LPD).

Fig. 3 Modular synthesis of tripod amphiphiles: (a) CH2(CN)2, AcOH, NH4OAc, benzene, reflux; (b) PhMgBr, CuCN, THF, 0 °C; (c) KOH, ethylene glycol, reflux; (d) EDC·HCl, HOBt, 3-(dimethylamino)-1-propylamine, DMF, then m-CPBA, CHCl3; (e) EDC·HCl, HOBt, serinol, DMF; (f) AgOTf, 2,3,4,6-tetra-O-benzoyl-α-D-glucopyranosyl bromide, DCM, then NaOMe, MeOH; (e) EDC·HCl, HOBt, ethanolamine, DMF; (h) 1,2-trans-peracetylated maltose, BF3·Et2O, DCM, then NaOMe, MeOH.

Fig. 5 Tripod amphiphiles with variations in the hydrophobic portion relative to 2. These amphiphiles are inferior to 2 for R. capsulatus LHI–RC superassembly solubilization.

Compound 7

Graphical abstract
The Royal Society of Chemistry apologises for these errors and any consequent inconvenience to authors and readers.
Back to article