Additions and corrections
Cucurbitacins and cucurbitane glycosides: structures and biological activities
Jian Chao Chen, Ming Hua Chiu, Rui Lin Nie, Geoffrey A. Cordell and Samuel X. Qiu
Natural Product Reports, 2005, 22, 386–399 (DOI: 10.1039/b418841c) Amendment published 3rd November 2005
The following errors have been found in this manuscript.
(a) p. 387: In the second paragraph of Section 1, the species name should be Siraitia siamensis.
(b) p. 388: In the second sentence of Section 2.3, the species name should be Phytophthora cactorum, and the concentration should be 10 mg l–1.
(c) p. 388: The R2 groups for compounds 16 and 17 should be:

(d) p. 390: The second full sentence should read: ‘Compounds 33, 35, 36 and 40 exhibited...’
(e) p. 391: In the last line of the first column, the text ‘Picorhiza scrophulariaeflora,’ should be followed by a citation of ref. 74 only.
(f) p. 391: Structures 87–96 should be replaced with structures 73–77:

(g) p. 391: In the first line of the second column, the text ‘Picorhiza kurrooa,’ should be followed by citations of refs. 75 and 76, not 18 and 76.
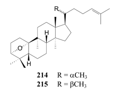
(h) p. 396: Structures 172–175, 180 and 181 should be replaced with structures 214 and 215:

(i) p. 398, ref. 14: The journal details should be: Phytother. Res., 1989, 3, 75.
(j) p. 398, ref. 33: The page number should be 643.
(k) p. 398, ref. 42: The volume number should be 25.
(l) p. 398, ref. 75: This reference should be: K. Weinges, H. Schik, K. Neuberger, H. J. Ziegler, J. Lichtenthäler and H. Irngartinger, Liebigs Ann. Chem., 1989, 11, 1113.
(m) p. 399, ref. 150: The journal name should be J. Econ. Entomol.
The Royal Society of Chemistry apologises for these errors and any consequent inconvenience to authors and readers.
Back to article