Addition and correction
Chemoenzymatic and enantiodivergent routes to 1,2-ring-fused bicyclo[2.2.2]octane and related tricyclic frameworks
Kerrie A. B. Austin, Jon D. Elsworth, Martin G. Banwell and Anthony C. Willis
Organic & Biomolecular Chemistry, 2010, 5 (DOI: 10.1039/b921600f) Amendment published 20th January 2011
The authors regret the following error:
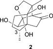
The configuration at C3 in compound 2 (11-O-debenzoyltashironin) was drawn incorrectly. The correct structure is shown below:

The Royal Society of Chemistry apologises for this error and any consequent inconvenience to authors and readers.