Additions and corrections
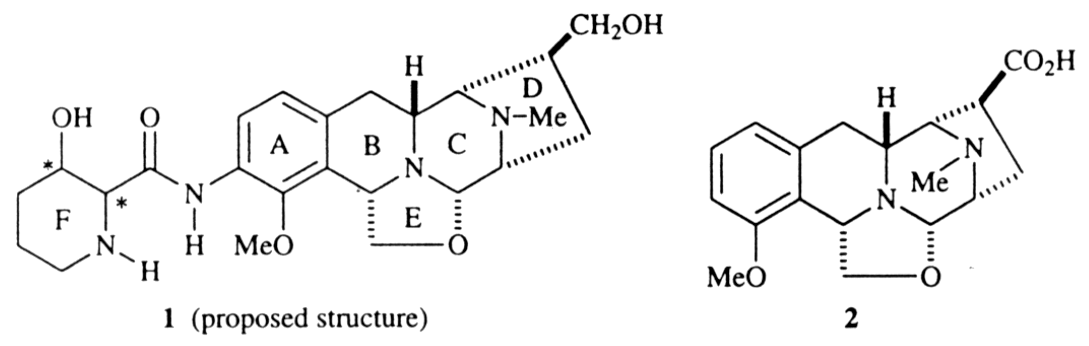
Synthesis of the tetrahydroisoquinoline unit in the AB ring system of the novel antitumor-antibiotic tetrazomine
Viviana L. Ponzo and Teodoro S. Kaufman
J. Chem. Soc., Perkin Trans. 1, 1997, 3131
The authors would like to point out that structures 1 and 2 in the above paper are incorrect. The correct structures are shown below.
