Additions and corrections
Thermodynamically-controlled cyclisation and interconversion of oligocholates: metal ion templated 'living' macrolactonisation
Paul A. Brady and Jeremy K. M. Sanders
J. Chem. Soc., Perkin Trans. 1, 1997, 3237
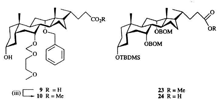
We would like to apologise to the authors and readers of the above paper for mistakes introduced into Schemes 2 and 6, and in Table 4.
In Schemes 2 and 6, the structures for compounds 9/10 and 23/24 should be as shown below.

In Table 4, the middle block should refer to compounds 20c-e, and the lower block to compounds 17b-d, as shown below.
